Featured
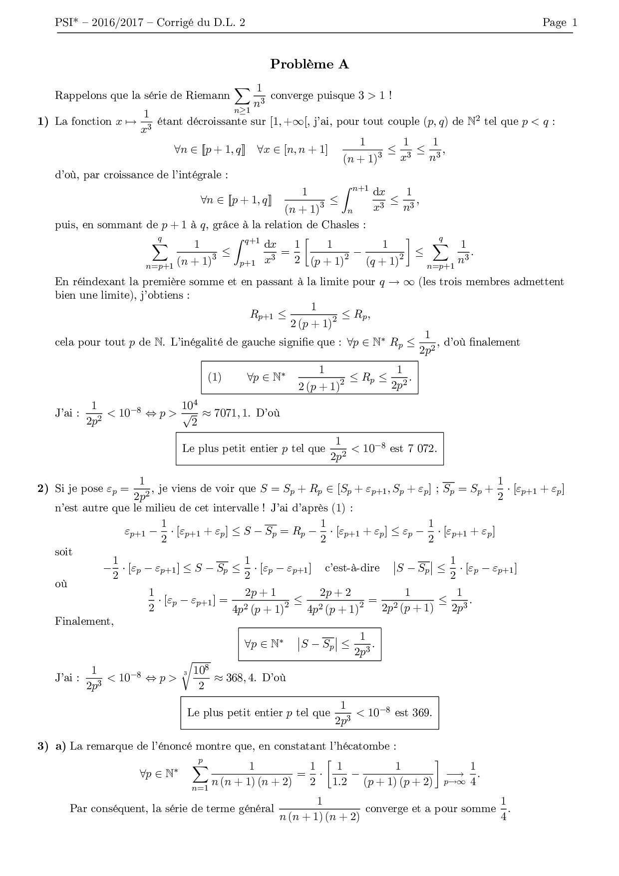
- Get link
- X
- Other Apps
[41+] Exemple De Lettre De Demande Dautorisation 3eme Annee College
La Lettre De Demande D Autorisation Lecture P 30 Livret Passerelle 3eme Annee Collegiale Youtube
La Lettre De Demande D Autorisation Lecture P 30 Livret Passerelle 3eme Annee Collegiale Youtube
La Lettre De Demande D Autorisation 3eme Annee College
La Lettre Administrative 3eme Annee College
La Lettre De Demande D Autorisation Pages 30 Et 31 3eme Annee Collegiale Youtube
3eme Annee College La Lettre De Demande D Autorisation Questions Reponses Youtube
La Lettre Personnele Definition Et Exemples Lettre A Tu Merites Emotion
Lettre De Demande D Autorisation Page 35 3eme Annee Collegiale Youtube
La Lettre D Invitation 3eme Annee College
Comment Rediger Une Demande De Stage
La Lettre De Demande D Autorisation 3eme Annee College Youtube
Lettre De Demande Pour Etre Dans La Meme Classe
La Lettre Administrative 3eme Annee College
Ecrit Rediger Une Lettre Pour Demander Une Autorisation Page 36 3eme Annee College Parcours Youtube
Parties Lettre De Demande D Emploi Alloschool
Ecrit Rediger Une Lettre De Demande D Autorisation Et La Justifier Livret Passerelle 3 Ac Youtube
Le Francais Au College 3eme Annee Production Ecrite Orale
Modele De Lettre Demande Pour Etre Dans La Meme Classe Au College Ou Au Lycee
La Lettre De Presentation Ou On Parle De Soi 3eme Annee
Rediger Une Lettre Pour Demander Une Autorisation Parcours Page 36 3eme Annee Du College Youtube
Production Ecrite Au 3eme College Maroc
Le Francais Au College 3eme Annee Production Ecrite Orale
سلسلة 1 للدوران الدموي مع التصحيح للسنة الثالثة إعدادي الدورة 1
Modeles De Lettres Et Documents Utiles Pour Organiser Une Course
La Lettre De Demande D Autorisation 3eme Souad Francais Au College Facebook
Lettre De Demande De Redoublement Scolaire A L Initiative Du Parent Pratique Fr
La Lettre De Demande D Autorisation 3eme Souad Francais Au College Facebook
Guide Passerelle 3 Pedagogie Lecture Processus
الفرض الأول للفرنسية النموذج 3 للسنة الثالثة اعدادي مع التصحيح الدورة 1
60 Idees De الثالثة إعدادي Lettre D Invitation Journal Scolaire Lettre De Voeux
Lettre De Motivation Pour Etre Dans La Meme Classe Qu Un Ami Lettres De Motivation Le Parisien Etudiant
Redigez Une Demande D Autorisation A La Directrice De Votre Etablissement Pour Avoir La Permission Nosdevoirs Fr
La Lettre De Demande D Autorisation 3eme Souad Francais Au College Facebook
Redigez Une Demande D Autorisation A La Directrice De Votre Etablissement Pour Avoir La Permission Nosdevoirs Fr
Parties Lettre De Demande D Emploi Alloschool
Telecharger Argument Francais 3eme Francais Pdf Sujet D Argumentation 3eme Corrige Sujet Pdf Exercices Pdf Com
La Lettre De Demande D Autorisation 3eme Annee Du College Youtube
La Lettre Personnelle 3eme Annee College
Souad Francais Au College Posts Facebook
Telecharger Lettre Changement De Classe College Pdf Lycee Etre Motivation Demande Derogation Etablissement Scolaire Exemple Exoneration Taxe Taxe Habitation Lettre Pdf Exercices Pdf Com
60 Idees De الثالثة إعدادي Lettre D Invitation Journal Scolaire Lettre De Voeux
Lettre D Engagement De Prise En Charge De Stagiaire Pratique Le Parisien Etudiant
Https Encrypted Tbn0 Gstatic Com Images Q Tbn And9gcrfjl6etgskvkln9si630ubs62plr5l Ps6aa Usqp Cau
Stage De Troisieme Comment Ecrire Sa Lettre De Motivation L Etudiant
La Lettre De Vœux De 3eme Annee Collegiale
Ecrit La Lettre De Remerciements 3eme Souad Francais Au College Facebook
Parties Lettre De Demande D Emploi Alloschool
3eme Annee College Rediger Une Lettre De Voeux Youtube
Decrire Son College 3eme Annee College Avec Exemples Outdoor Decor Decor Home Decor
Comment Faire Une Demande De Derogation Scolaire
L Orientation En 3e Et L Affectation En Lycee Ministere De L Education Nationale De La Jeunesse Et Des Sports
La Lettre De Demande D Autorisation 3eme Souad Francais Au College Facebook
Changer De College Pas Simple Mais Possible L Etudiant
Bienvenue Sur Le Site Internet Du College Toulouse Lautrec A Langon
Lettre De Demande D Autorisation Page 30 3eme Annee College Passerelle Youtube
Bac Brevet 2020 Les Reponses A Vos Questions Ministere De L Education Nationale Et De La Jeunesse
Telecharger Expression Ecrite 3eme Francais Pdf Passerelle College Annee Imagizer Imageshack Png Mefait 3am Edition 2017 Bernard Papin Annee Pdf Exercices Pdf Com
Bienvenue Sur Le Site Internet Du College Toulouse Lautrec A Langon
Les Elements D Une Lettre Superprof
Parties Lettre De Demande D Emploi Alloschool
Arret Bilan P 61 62 Soutien Et Consolidation 1ere Partie Livret Passerelle 3e Annee Collegiale Youtube
Modele De Lettre Lettre De Demande De Bourse De College Previssima
La Lettre De Remerciement 3eme Annee College
Formulaire De Demande D Autorisation D Absence Ou De Conges La Circonscription I E N Circonscription Ash
Telecharger Algebre Lineaire 3eme Annee Bac 3 Mathematiques Pdf Cours Maths Licence 1 Algebre Pdf Exercices Pdf Com
Ecrivez Sur Vos Cahiers Du Lecons Les Cours Au College Matiere Francais Facebook
Ecole Nationale D Ingenieurs De Sousse
Cours Droit Du Travail L3 3eme Annee Actu Droit Vous Offrir Le Meilleur Du Droit
Projet Conjoint Unesco Unicef Suivi Permanent Des Acquis Scolaires Et Evaluation Des Conditions D Enseignement Et D Apprentissage Dans Les Ecoles Primaires Rapport Definitif Senegal Unesco Digital Library
Formulaires Formulaires D Absence Demande D Autorisation Conge Maladie Ou Maternite Conge De Garde D Enfant Malade Circonscription Du Soissonnais Dsden De L Aisne
La Lettre De Demande D Autorisation 3eme Annee College
35 Modeles De Lettre Pour Le College Lycee Et Universite
Autorisation Diffusion De Musique La Sacem
سلسلة 2 للنشر والتعميل و المتطابقات الهامة مع التصحيح للسنة الثالثة إعدادي Word Search Puzzle Words Word Search
Brevet 2019 Le Corrige De L Epreuve De Sciences Svt Et Physique Chimie Corriges Du Brevet Brevet Le Parisien Etudiant
- Get link
- X
- Other Apps
Popular Posts
[54+] Parquets Chêne Massif Naturel Personnalisé Et élégant - Pin on textures..
- Get link
- X
- Other Apps
[21+] Sample Invitation Letter For German Family Reunion Visa
- Get link
- X
- Other Apps



Comments
Post a Comment